Inversa Unei Matrici Exercitii Rezolvate
Inversa Unei Matrici Exercitii Rezolvate
Minore complementare relativo a un elemento di una matrice. Dati exemplu de o matrice si gasiti un model concret care sa se poata scrie restrans cu ajutorul ei.
Iata cateva CV-uri de cuvinte cheie pentru a va ajuta sa gasiti cautarea, proprietarul drepturilor de autor este proprietarul original, acest blog nu detine drepturile de autor ale acestei imagini sau postari, dar acest blog rezuma o selectie de cuvinte cheie pe care le cautati din unele bloguri de incredere si bine sper ca acest lucru te va ajuta foarte mult
Acest articol a fost publicat în algebra și etichetat cu exercitii rezolvate, matricea inversă, matrici. Se calculeaz transpusa matricei i apoi se. Matrice inversabilă și inversa unei matrice.
Esti aici:home » scoala » matematica » formule algebra » inversa unei matrici de ordin 3.
Matrice inversabilă și inversa unei matrice. A inversei unei matrice 2.1. Exerciții rezolvate la metoda mersului invers.
A mn(c).matricea a este inversabila daca si numai daca. Dragul meu părinte am pregătit si o fișă de lucru cu exerciții la metoda mersului invers pentru copilul tău, pe care o gasești aici: D) construiti inversa matricii a, , apoi verificati corectitudinea rezultatului obtinut utilizand relatia , unde este matricea unitate cu trei linii si trei coloane.
Exercitii rezolvate si probleme rezolvate adaugam constant.
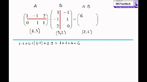
Acest exemplu este pentru o matrice de 2 pe 2, dar se rezolva la fel si pentru una cu mai multe linii si coloane. Exercitiu rezolvat de stabilire a inversei unei matrici de trei linii si trei coloane (3x3). Variante bac *un blog dedicat elevului:
Dragul meu părinte am pregătit si o fișă de lucru cu exerciții la metoda mersului invers pentru copilul tău, pe care o gasești aici: Siamo quasi pronti a entrare nel vivo della lezione e vedere come si calcola come calcolare la matrice inversa di una matrice invertibile. Platforma educationala pentru copii, parinti si profesori.
Se calculeaz transpusa matricei i apoi se.
A mn(c).matricea a este inversabila daca si numai daca. Matricea a este inversabilă dacă si numai daca det(a) este diferit de 0 (in acest caz, matricea a se numeste nesingulara sau nedegenerata). Publicat în 5 octombrie 2011 de poenaru dan.

Posting Komentar untuk "Inversa Unei Matrici Exercitii Rezolvate"